中国西南文化丛书·西南石窟文献(全10册)-滇史网
滇史网-云南历史研究网
  • 云南历史
    • 考古文物
    • 汉晋南朝时期
    • 南诏大理国时期
    • 元时期
    • 明时期
    • 清时期
    • 民国时期
    • 党史国史
  • 云南文化
    • 风物文化
    • 民族文化
    • 民俗文化
    • 教育文化
    • 云茶文化
    • 宗教文化
  • 云南名人
    • 历史名人
    • 学术名家
  • 电子资源
    • 文献资料
    • 舆图资料
    • 学术著作
    • 文学著作
    • 新编诸史
    • 文化普及
    • 工具书
    • 其他资源
    • 学术论集
  • 新书资讯
  • 通知公告
  • 论坛首页
发布
发布文章创建话题创建版块发布帖子
开通会员
黄金会员
黄金会员
黄金会员开通黄金会员
  • 全站资源折扣购买
  • 全站文章免费阅读
  • 一对一技术指导
  • VIP用户专属QQ群
开通黄金会员
钻石会员
钻石会员
钻石会员开通钻石会员
  • 全站资源免费阅读下载
  • 一对一技术指导
  • VIP用户专属微信群
开通钻石会员
  • 简体中文
  • 繁体中文
  • English
  • 한국어
  • 日本語
  • Français
  • Italiano
  • Deutsch
  • Русский
  • 登录
  • 注册
滇史网
  • 简体中文
  • 繁体中文
  • English
  • 한국어
  • 日本語
  • Français
  • Italiano
  • Deutsch
  • Русский
  • 云南历史
    • 考古文物
    • 汉晋南朝时期
    • 南诏大理国时期
    • 元时期
    • 明时期
    • 清时期
    • 民国时期
    • 党史国史
  • 云南文化
    • 风物文化
    • 民族文化
    • 民俗文化
    • 教育文化
    • 云茶文化
    • 宗教文化
  • 云南名人
    • 历史名人
    • 学术名家
  • 电子资源
    • 文献资料
    • 舆图资料
    • 学术著作
    • 文学著作
    • 新编诸史
    • 文化普及
    • 工具书
    • 其他资源
    • 学术论集
  • 新书资讯
  • 通知公告
  • 论坛首页
开通会员 尊享会员权益
登录
注册
找回密码

快速登录

QQ登录微信登录

中国西南文化丛书·西南石窟文献(全10册)

滇史的头像-滇史网钻石会员
滇史等级-LV5-滇史网
2年前更新
关注私信
9410
20240504195826630-w600h399

图书目录

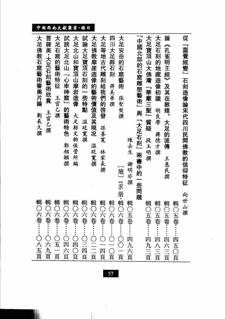
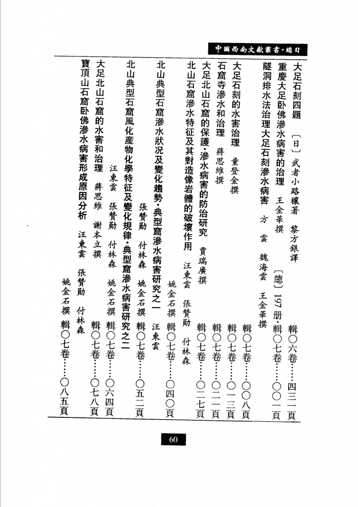
20240504213034418-中国西南文献丛书 目录索引卷,梁公卿总主编;高国祥卷主编,兰州市:兰州大学出版社_11556683_86
20240504213034620-中国西南文献丛书 目录索引卷,梁公卿总主编;高国祥卷主编,兰州市:兰州大学出版社_11556683_87
20240504213034823-中国西南文献丛书 目录索引卷,梁公卿总主编;高国祥卷主编,兰州市:兰州大学出版社_11556683_88
20240504213034705-中国西南文献丛书 目录索引卷,梁公卿总主编;高国祥卷主编,兰州市:兰州大学出版社_11556683_89
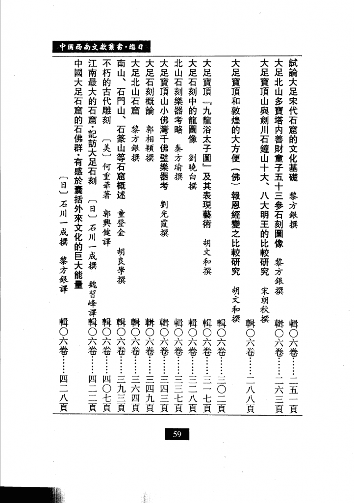
20240504213036971-中国西南文献丛书 目录索引卷,梁公卿总主编;高国祥卷主编,兰州市:兰州大学出版社_11556683_90
20240504213036932-中国西南文献丛书 目录索引卷,梁公卿总主编;高国祥卷主编,兰州市:兰州大学出版社_11556683_91
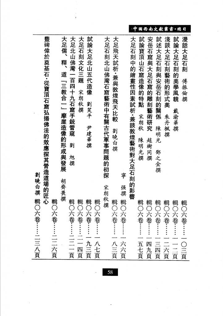
20240504213159514-中国西南文献丛书 目录索引卷,梁公卿总主编;高国祥卷主编,兰州市:兰州大学出版社_11556683_92
20240504213159305-中国西南文献丛书 目录索引卷,梁公卿总主编;高国祥卷主编,兰州市:兰州大学出版社_11556683_93
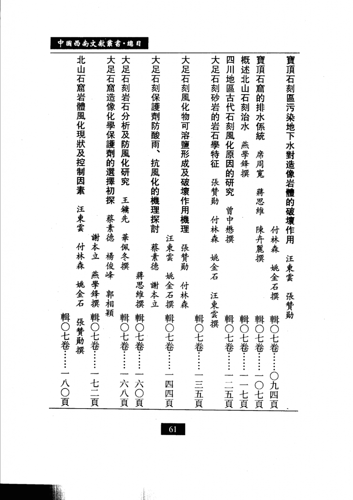
20240504213200738-中国西南文献丛书 目录索引卷,梁公卿总主编;高国祥卷主编,兰州市:兰州大学出版社_11556683_94
20240504213200772-中国西南文献丛书 目录索引卷,梁公卿总主编;高国祥卷主编,兰州市:兰州大学出版社_11556683_95
20240504213201442-中国西南文献丛书 目录索引卷,梁公卿总主编;高国祥卷主编,兰州市:兰州大学出版社_11556683_96
20240504213201956-中国西南文献丛书 目录索引卷,梁公卿总主编;高国祥卷主编,兰州市:兰州大学出版社_11556683_97
20240504213255984-中国西南文献丛书 目录索引卷,梁公卿总主编;高国祥卷主编,兰州市:兰州大学出版社_11556683_98
20240504213255320-中国西南文献丛书 目录索引卷,梁公卿总主编;高国祥卷主编,兰州市:兰州大学出版社_11556683_99

 

THE END
电子资源
# 中国西南文献丛书
喜欢就支持一下吧
点赞10赞赏收藏
中国西南文化丛书·西南石窟文献(全10册)-滇史网
中国西南文化丛书·西南石窟文献(全10册)
此内容为付费资源,请付费后查看
¥100
黄金会员¥50钻石会员免费
立即购买
您当前未登录!建议登陆后购买,可保存购买订单
付费资源

上一篇

无更多文章

下一篇

无更多文章
相关推荐
巧家县工业志-滇史网
巧家县工业志
巧家县工业志
1个月前 29
巧家县粮油志-滇史网
巧家县粮油志
巧家县粮油志
1个月前 34
巍山彝族回族自治县民俗志-滇史网
巍山彝族回族自治县民俗志
巍山彝族回族自治县民俗志
1个月前 40
宜良文史资料选辑 第1辑-滇史网
宜良文史资料选辑 第1辑
宜良文史资料选辑 第1辑
1个月前 35
宜良文史资料选辑 第2辑-滇史网
宜良文史资料选辑 第2辑
宜良文史资料选辑 第2辑
1个月前 56
  • 滇史网

    “滇史”微信公众号是云南省最大的文史类综合融媒体。云南文史论坛是“滇史”团队打造的网页移动端,内容更加丰富,致力于帮助更多文史爱好者了解云南文化。
  • 友链申请 免责声明 广告合作

    Copyright © 2024 ·  滇ICP备2021006772号-2
    扫一扫加微信-滇史网
  • 扫码加微信群-滇史网

    扫码加微信群

    扫码关注滇史-滇史网

    扫码关注滇史
扫码添加微信-滇史网

滇史网-云南历史研究网
滇史网-云南历史研究网
登录
没有账号?立即注册
邮箱
验证码
账号密码登录
用户名/手机号/邮箱
登录密码
找回密码 | 免密登录

社交账号登录

QQ登录微信登录
注册
已有账号,立即登录
设置用户名
邮箱
验证码
设置密码
扫码登录
使用其它方式登录或注册扫码登录